美联储主席杰罗姆·鲍威尔在杰克逊霍尔研讨会上发表鸽派言论,暗示可能在9月降息,亚洲市场人气有望回升。这一转变引发了人们对风险偏好改善以及亚洲股市和债市表现强劲的预期。
美元走弱也是影响因素之一,利率压力导致美元计价投资吸引力下降,并可能促使资本流向亚洲。不过,分析师表示,这轮涨势能否持续尚不确定,取决于即将公布的经济数据和企业业绩,以及美联储是否承诺进一步加深宽松周期。如果情况不明朗,涨势可能只是昙花一现。
鲍威尔的讲话似乎承认9月将降息,但他的立场并非那么鸽派,他表示这将取决于数据。美元兑日元上涨,是因为市场预期其将发表强硬言论,因此回落了相应的幅度。
渣打银行全球G-10外汇研究主管Steven Englander :“除非鲍威尔认为联邦公开市场委员会降息的可能性很大,否则他不会发表这样的讲话。提高预期然后又令人失望是没有意义的。对市场而言,问题在于非农就业数据需要达到多高才能阻止降息,以及非农就业数据需要达到多低才能证明降息50个基点是合理的。”
三井住友信托资产管理公司高级策略师稻留胜敏(Katsutoshi Inadome) :“纵观亚洲市场,我们看到市场情绪正转向风险偏好,以应对美联储放松政策的预期。股市上涨,石油和黄金等大宗商品也受到追捧。这一切都表明市场开始消化美国降息的影响。在债券市场,同样的风险偏好基调可能会引发收益率的一些上行压力。但最终,这取决于各国央行如何应对。”
技术面分析:
微信功能不定期受限,要体验插件的同学请在加好友时备注下联系方式,方便我们回加!!!
黄金:鲍威尔央行年会表态偏向温和,黄金在短期内可能将会延续技术面上的向上调整走势。我们日内对价格保持乐观心态,期待动能信号在蓝色区域出现;或者等待低扫黄色区域流动性之后,继续尝试低买。详细位置请咨询插件。

插件每个交易日12:00-13:00更新,想要体验图中同款插件请联系V:Hana-fgfg 备注一下你的联系方式,方便我们回加
纳指:今天的配置和黄金类似,但是下方低买的区域变成更加激进的绿色。详细位置请咨询插件。

(纳指 15min图)
插件每个交易日12:00-13:00更新,想要体验图中同款插件请联系V:Hana-fgfg 备注备注一下你的联系方式,方便我们回加
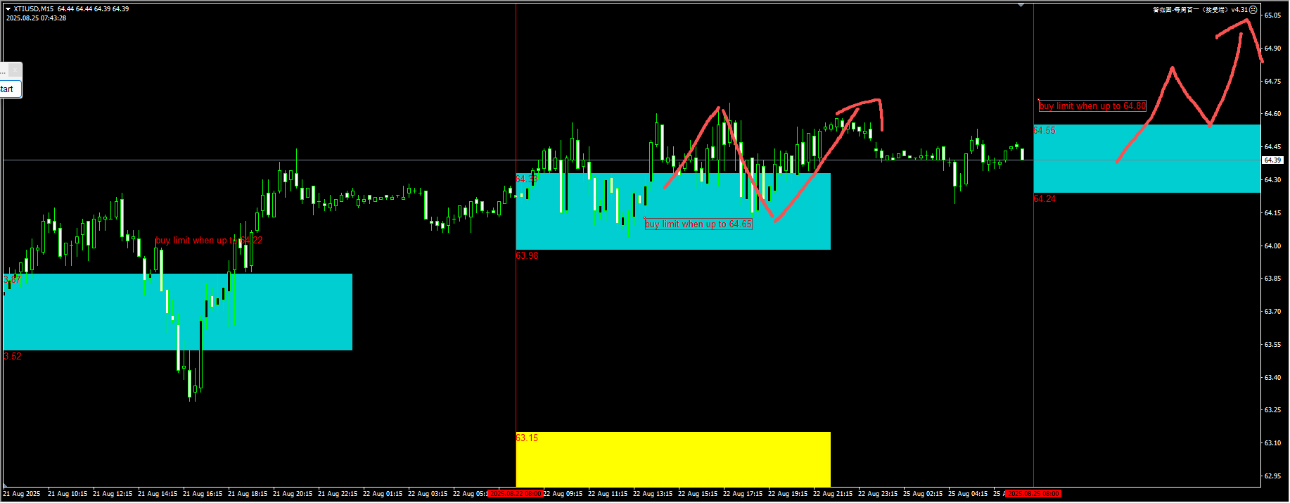
原油:上周五蓝色区域突破之后的buy limit目前还没有完全产生效果。我们建议日内继续持有;如果要新开仓,要等待新的动能信号出现,同时要对上周五的头寸进行保护。详细位置请咨询插件。

(原油 15min图)
插件每个交易日12:00-13:00更新,想要体验图中同款插件请联系V:Hana-fgfg 备注备注一下你的联系方式,方便我们回加
今日重点关注的财经数据与事件:
16:00 德国8月IFO商业景气指数
22:00 美国7月新屋销售
22:30 美国8月达拉斯联储制造业指数


